Ex 1

If Y X E X Then D 2x Dy 2 Is A E X B E X 1 E X

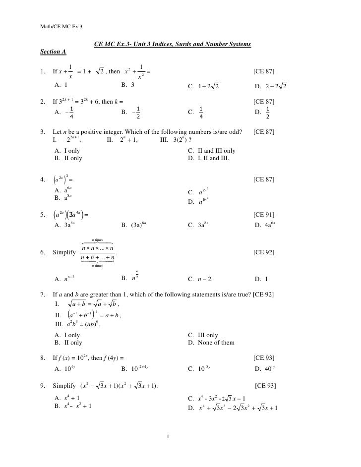
Mc Ex 1 3 Unit 3 Indices Surds And Number Systems

Ncert Solutions For Class 9 Maths Chapter 1 Vidyakul
Ex 1 のギャラリー

File Division E X 1 X 1 2 1 Png Wikimedia Commons
Http Www Math Ust Hk Majhu Math3 Rudin Homework14 Pdf

Ajw Ao5 Zgh 6m

What Does Ex1 Mean Army S Amino

The Story Of Kurtosis

Dashboard Data Ex Qualtrics Support

Galax Geforce Rtx 70 Super Ex 1 Click Oc Geforce Rtx Super Series Geforce Rtx Series Graphics Card

Eksportnaya Deklaraciya Ex 1
Category 1 Institutes And Centre Management Of Education Related Category 1 Institutes Unesco Digital Library
Http Citeseerx Ist Psu Edu Viewdoc Download Doi 10 1 1 414 4537 Rep Rep1 Type Pdf

Mp Board Class 8th Maths Solutions Chapter 1 Rational Numbers Ex 1 1 Mp Board Solutions

Ex 7 5 21 Integrate 1 Ex 1 Hing Put Ex T Ex 7 5

Exempt Information Document Registration Ex1 Gov Uk

Samacheer Kalvi 8th Maths Solutions Term 1 Chapter 1 Rational Numbers Ex 1 1 Samacheer Kalvi

Galax Geforce Rtx 70 Super Ex Graphics Card Review Thepcenthusiast

The Integral Int 1 X 1 X E X 1 X Dx Is Equal To 1 X 1 E X
Ex1 Cosmetics Liquid Foundation Asos

Example Format For Enduring Cultures Cba

Integration Ex 2 X 1 X 2 Dx Explain In Great Detail Mathematics Topperlearning Com 4j7olss

Ex 1 4 1 Class 12 Maths Ncert Solutions Determine If Binary

Ex 7 3 24 Integration Ex 1 X Cos2 Ex X Dx Equals

Import Export Declarations Moveo Uk Transportation Cargo Carriage Logistics Freight

Ncert Solutions For Class 9 Maths Chapter 1 Number Systems Ex 1 2

Ncert Solutions For Class 9 Maths Chapter 1 Number Systems Ex 1 5
Arxiv Org Pdf 1701

Maths Solutions Ssc 10th Class Real Numbers Chapter 1 Exercise 1 1 1 2 1 3 1 4 And 1 5 Ap And Ts Maths Glow

Ex 1 Kiy Manual Ko Propo
What Is The Expansion Of Math 1 E X 1 Math Quora

Ncert Solutions For Class 9 Maths Chapter 1 Ex 1 6 Exercise 1 6

Oop Exercises Java Programming Tutorial

Ncert Solutions For Class 11 Maths Chapter 1 Sets Updated 21

Oop Exercises Java Programming Tutorial
2

Review Ex1 Invisiwear Liquid Foundation Old And New Formula Comparison The One With All The Makeup

Echelon Bikes Ex 1 Vs Ex 3 Vs Ex 5 Vs Ex 5s Compared Lafitness Reviews

Amazon Com Copilot Limo Ex 1 Bicycle Child Seat Sports Outdoors
Q Tbn 3aand9gcsjnvfjeawsmcatdbvcsgfpl2vpzyvysc6c6awk2nm Usqp Cau

Rbse Solutions For Class 8 Maths Chapter 1 Rational Numbers Ex 1 1

Galax Geforce Rtx 60 Super Ex Review
Http Www Stats Ox Ac Uk Berestyc Teaching Sb21 Ex1sol Pdf

Eksportnaya Deklaraciya Eh 1 Chto Eto Takoe Kak Vyglyadit Kak Oformit

Ex1 Document Template Matah

Ex1 Cosmetics

Uchim Russkij Blog Archive Eksportnaya Deklaraciya Ex1

Ncert Solutions For Class 10 Maths Chapter 1 Exercise 1 2 In Pdf

What Does Ex1 Mean Army S Amino
2
Http Www Stat Rutgers Edu Hcrane Teaching 5 Lectures Chapter18 Condexp Pdf

Galax Geforce Rtx 70 Super Ex 1 Click Oc Geforce Rtx Super Series Geforce Rtx Series Graphics Card

Rd Sharma Solutions For Class 10 Chapter 1 Real Numbers Exercise 1 1 Pdf

Ml Aggarwal Class 9 Solutions For Icse Maths Chapter 16 Mensuration A Plus Topper

Sony Pmw Ex 1 Hand Held Films

Ex 7 3 24 Integration Ex 1 X Cos2 Ex X Dx Equals

Class 9th Ex 1 1 Q 1 Number System Cbse Ncert Youtube

Re Zero Ex Light Novel Volume 1 Re Zero Wiki Fandom

Tesira Expanders
2

Integration Ex 1 Sin X 1 Cos X Dx Explain In Great Detail Mathematics Topperlearning Com Ejafs0yy
Arxiv Org Pdf 1902

Pmw Ex1

Kseeb Sslc Class 10 Maths Solutions Chapter 1 Arithmetic Progressions Ex 1 3 Kseeb Solutions

Ex 1 Disc Rear Rack Blackburn Design

Ncert Solutions For Class 9 Maths Chapter 1 Ex 1 3 Exercise 1 3

Rd Sharma Solutions For Class 10 Chapter 1 Real Numbers Exercise 1 1 Pdf
Q Tbn 3aand9gcre9qrvqikqitwaun1xlrq5ssv2b3ww0f1tjsc6lvr Spxl1ce6 Usqp Cau

Eksportnaya Deklaraciya Ex A Perevod Skachat Rastamozhit Gruz V Cpb

Indoor Exercise Bike At Home Echelon Smart Connect Bike Ex1 Echelon Fit Us

Ex 1 Ko Propo

Ncert Solutions For Class 12 Maths Chapter 1 Exercise 1 1 Ex 1 1

Chapter 6 Toilet Rooms United States Access Board

How To Solve This Question Integral E X X 2 1 X 1 2 Quora

Modifiers And Adverbs Tcspp Community

Reported Speech Reported Speech Learn English Words Speech Rules
Q Tbn 3aand9gct5ylmseaebynyblvnyu2rvjehfqjq3flxut Ues6uipepkucjv Usqp Cau

Rbse Solutions For Class 8 Maths Chapter 1 Rational Numbers Ex 1 1

Ppt 5 4 Exponential Functions Differentiation And Integration Powerpoint Presentation Id

Rational Numbers Rs Aggarwal Class 8 Solutions Ex 1c
Int Nyt Com Data Documenthelper 6936 Michael Flynn Motion To Dismiss Fa06f5e13a0ecb6 Optimized Full Pdf

Ex1 Cosmetics

What Does Ex1 Mean

Integrate Ex X2 1 X 1 2 Dx Brainly In

Rs Aggarwal Class 8 Solutions Chapter 1 Rational Numbers Ex 1c
Ex1 Cosmetics Invisiwear Liquid Foundation Reviews Photos Ingredients Makeupalley
2
Http Www4 Westminster Edu Staff Anthonj Optimization problems spring 15 Pdf

Ncert Solutions For Class 6 Maths Chapter 1 Knowing Our Numbers Ex 1 2 Exercise 1 2

Eksportnaya Deklaraciya Ex1 Blog Logisticheskoj Kompanii Irajd Ru

Eksportnaya Deklaraciya Ex1 Ex A Blank Na Russkom Yazyke Prodtehimport
Solved Find The Derivative Y Ln 1 E 1 Ex Y E X Chegg Com

Timesheet Examples

Kseeb Sslc Class 10 Maths Solutions Chapter 1 Arithmetic Progressions Ex 1 2 Kseeb Solutions

Linear Independence And Linear Dependence Ex 1 Youtube

Export Certificate Loris Zanca

Ex1 Invisiwear Liquid Foundation Swatches Light Foundation Swatches Ex1 Foundation Swatches Liquid Foundation

Ex 1 2 Points 1 Ecrire Les Nombres Suivants Sous Forme

Ncert Solutions For Class 10 Maths Chapter 1 Real Numbers Ex 1 1 Exercise 1 1
Int Nyt Com Data Documenthelper 6936 Michael Flynn Motion To Dismiss Fa06f5e13a0ecb6 Optimized Full Pdf
Q Tbn 3aand9gcrxo2bpi Bt5mie00vyxo1y8fvqfjsqgt6ag2f9zhuhh7smvb3w Usqp Cau

Ex1 Cosmetics

Mc Ex 1 3 Unit 3 Indices Surds And Number Systems

Review Ex1 Invisiwear Liquid Foundation 2 0 Adjusting Beauty